You fall asleep with stable energy. Four hours later, you’re wide awake — heart pounding, mind racing, no obvious reason. That 3am wake-up may be driven by what your blood glucose is doing while you sleep.
Overnight blood sugar regulation affects more than energy the next day. Glucose stability during sleep influences cortisol rhythm, cardiovascular recovery, and long-term metabolic health — all factors tied to how well you age. Poor glucose control during sleep compounds over years.
This article covers one mechanism: how a nocturnal blood sugar drop triggers the hormonal cascade that wakes you up. Blood sugar is one of several metabolic causes of middle-of-the-night waking. For the full picture — including insulin resistance, mitochondrial decline, and disrupted fat metabolism — see Metabolic Sleep Disruption: How Metabolic Impairment Fragments Sleep.
What Happens to Blood Sugar During Sleep and Why Does It Drop?
During the first four to five hours of sleep, blood glucose trends downward. Insulin levels from your last meal decline, and the body transitions from burning glucose to burning fat as its primary fuel source. In a person with normal insulin sensitivity, this transition is smooth — glucose dips modestly, stays above 70 mg/dL, and the brain has no reason to intervene.
Between roughly 3am and 5am, the liver begins a scheduled release of stored glucose (glycogen) into the bloodstream. Cortisol, growth hormone, and catecholamines rise during this pre-waking window to prepare the body for the energy demands of morning. This is the dawn phenomenon — a normal physiological event documented across both diabetic and non-diabetic populations.
Two distinct problems emerge when glucose regulation is impaired.
The first is the dawn phenomenon amplified by insulin resistance. The liver releases glucose on schedule, but insulin is not effective enough to manage the influx. The result: blood sugar is higher at 6am than it was at midnight, even without eating. This is common in people with prediabetes or type 2 diabetes.
The second is the Somogyi effect — a theorized rebound pattern. Blood glucose drops too low during the early hours of sleep, counterregulatory hormones may overcorrect, and glucose spikes upward. The Somogyi effect involves a low-then-high pattern, while the dawn phenomenon involves a rise without a preceding drop.
Both patterns can produce 3am waking, but through different mechanisms. The Somogyi effect may wake you through the stress hormone surge triggered by hypoglycemia. The amplified dawn phenomenon can wake you through cortisol and catecholamine elevation that arrives too early or too aggressively.
A study by Jauch-Chara et al. (2007) demonstrated that even in healthy, non-diabetic individuals, experimentally lowering blood glucose to 2.2 mmol/L (approximately 40 mg/dL) during sleep produced awakening in 62.5% to 100% of participants, depending on sleep timing. The brain responds to low glucose — it mounts a defense.

Can Blood Sugar Drop During Sleep Without Diabetes?
The assumption that nocturnal hypoglycemia only affects people taking insulin or diabetes medication is outdated. CGM technology has changed what we can observe.
Wang et al. (2022) found that 24.3% of outpatients with type 2 diabetes had asymptomatic nocturnal hypoglycemia detected by CGM — episodes that produced no noticeable signs and would have gone unrecorded without continuous monitoring. These episodes were classified as asymptomatic — the individuals had no awareness that their glucose had dropped below threshold during sleep.
That 24.3% figure likely underestimates the scope, because of how nocturnal hypoglycemia has historically been measured. Martine-Edith et al. (2024) analyzed data from 574 participants in the Hypo-METRICS study and found that the standard clock-based definition of nocturnal hypoglycemia — events occurring between midnight and 6am — misses a meaningful portion of sleep-period events. When measured against actual sleep times rather than fixed clock hours, weekly nocturnal hypoglycemia events were higher: 1.7 vs 1.4 in type 1 diabetes (P<0.001) and 0.8 vs 0.7 in type 2 diabetes (P<0.001). People who fall asleep before midnight or wake after 6am have hypoglycemic episodes that fall outside the measurement window.
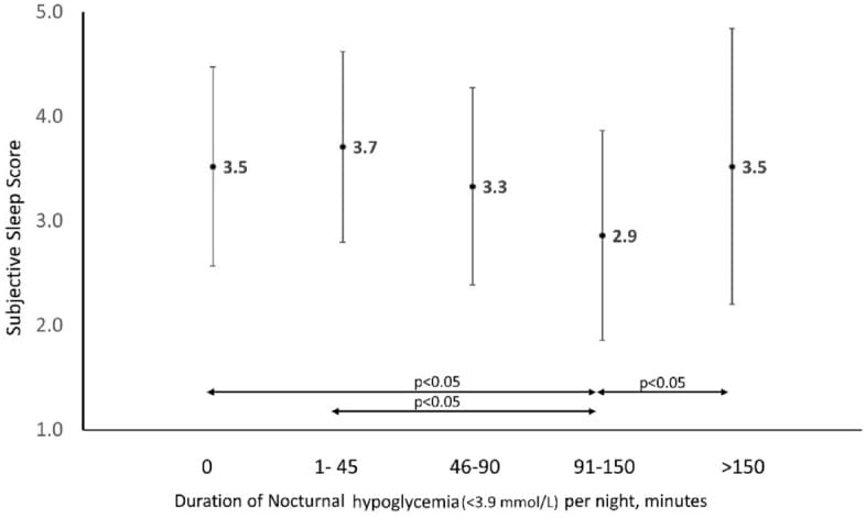
For people without diabetes, the picture is less studied but becoming visible through CGM data. Gardner et al. (2023) tracked 27 adults with type 1 diabetes using Freestyle Libre Pro CGM over a median of 28 nights and found that nights with hypoglycemic episodes predicted worse morning sleep quality ratings (3.3 vs 3.5 on a standardized scale, p=0.03). While this study focused on type 1 diabetes, the mechanism — glucose dropping, hormones responding, sleep disrupted — applies to anyone whose glucose regulation is impaired enough to produce overnight dips.
Reactive hypoglycemia offers a plausible pathway in non-diabetic individuals. A high-carbohydrate meal in the evening — particularly refined carbohydrates consumed within two to three hours of bedtime — can trigger a large insulin release. If that insulin response overshoots, glucose drops below baseline during the first half of sleep. In someone with early insulin resistance — glucose tolerance already declining but fasting glucose still in the normal range — this overshoot may produce a dip into the 60s or low 70s mg/dL, enough to initiate the counterregulatory response.
CGM data from non-diabetic populations suggests that “normal” overnight glucose is not as flat or stable as fasting glucose tests indicate. The gap between what a single morning blood draw shows and what continuous monitoring reveals overnight is where many of these 3am wake-ups originate.

Why Does a Blood Sugar Drop Wake You Up Instead of Letting You Sleep?
The counterregulatory response is a graded defense. As glucose drops, the body responds in stages. Glucagon secretion increases first, around 65-70 mg/dL, directing the liver to convert glycogen into glucose. If glucose continues to fall, epinephrine (adrenaline) releases into the bloodstream, raising heart rate, redirecting blood flow, and — relevantly — activating the brain’s arousal centers. Cortisol and growth hormone follow, extending the glucose recovery over the next one to two hours.
This is why a blood sugar drop does not feel like gently easing awake. It feels like an alarm. Epinephrine is the same hormone released during a fight-or-flight response. Waking from a nocturnal blood sugar drop often comes with a pounding heart, anxiety, sweating, and a feeling of alertness that makes returning to sleep difficult — because your endocrine response is in emergency mode.
But this response does not work the same way during sleep as it does during the day.
Banarer and Cryer (2003) conducted a crossover study with 8 individuals with type 1 diabetes and 8 non-diabetic controls, inducing hypoglycemia to 45 mg/dL during both sleep and wakefulness. The epinephrine response during sleep was lower: 85+/-47 pg/mL compared to 240+/-86 pg/mL during wakefulness (P=0.001). The body’s primary alarm hormone was blunted by more than 60% during sleep.
This blunting has a notable consequence. Because epinephrine responds more weakly during sleep, glucose drops further before the counterregulatory defense reaches the threshold needed to wake the brain. The result is a deeper glucose nadir and a more abrupt awakening — the body undershoots, then overcorrects. This may explain why 3am wake-ups from blood sugar drops tend to feel sudden and intense rather than gradual.
The Banarer and Cryer data revealed another finding: sleep efficiency during hypoglycemia was 77+/-18% in individuals with type 1 diabetes compared to only 26+/-8% in non-diabetic controls (P=0.011). The non-diabetic participants woke up. The participants with type 1 diabetes largely slept through it. This suggests that repeated exposure to nocturnal hypoglycemia may dull the arousal response — a form of hypoglycemia unawareness that extends into sleep.
Jennum et al. (2015) reinforced this finding in a different population. In a crossover polysomnography study of 26 adults with type 2 diabetes, the 4-to-8-hour sleep window showed 27% fewer awakenings on hypoglycemic nights compared to control nights. Counterregulatory hormones were elevated — the body detected the low glucose — but the hormonal response did not reach the threshold required to trigger awakening. The defense fired. The person stayed asleep.
Sleep timing also matters. Jauch-Chara et al. (2007) induced hypoglycemia in 16 healthy, non-diabetic individuals during early sleep (first half of the night) versus late sleep (second half). During early sleep, 62.5% of participants awakened. During late sleep, 100% awakened. But counterintuitively, the counterregulatory hormone response — epinephrine, norepinephrine, ACTH, cortisol, growth hormone — was weaker during late-sleep hypoglycemia than during early-sleep hypoglycemia (all P<0.05).
This means the time of night when you are more likely to wake up from low blood sugar is also the time when your hormonal defense is least robust. Late-sleep hypoglycemia produces near-universal awakening but with a less effective glucose recovery. The brain wakes you up, but the tools available to fix the problem are reduced.
This timing aligns with the 2-4am wake-up window. By that point, you are in the second half of the night, cortisol is beginning its pre-dawn rise, and any glucose instability collides with a hormonal environment primed for arousal but less equipped for glucose recovery.
Frequently Asked Questions
What Are the Noticeable Signs of Low Blood Sugar During Sleep?
The signs people often notice are the downstream effects of epinephrine release: heart pounding, feeling hot, sheets damp with sweat, and a sharp-edged alertness that feels different from waking due to a sound or needing the bathroom. Some individuals report waking with intense hunger or a craving for carbohydrates — the brain directing behavior toward glucose intake.
Vivid dreams or nightmares can also accompany nocturnal blood sugar drops. The brain, receiving less glucose than it needs, may produce fragmented or intense dream content during the transition from sleep to waking.
The challenge is that many episodes are undetectable without monitoring. Wang et al. (2022) documented that 24.3% of nocturnal hypoglycemia in type 2 diabetes was asymptomatic — the individuals had no awareness that their glucose had dropped. The individual’s glucose dropped and recovered while they remained asleep, leaving no subjective trace. The only reliable method for detecting nocturnal blood sugar drops is continuous glucose monitoring over multiple nights.
Why Is Blood Sugar Higher in the Morning Than When You Went to Bed?
Between roughly 3am and 6am, the liver begins converting glycogen to glucose and releasing it into the bloodstream. This is hormonally driven: cortisol rises as part of the circadian rhythm, growth hormone pulses during late sleep, and catecholamines increase as the body prepares for waking activity. In someone with normal insulin sensitivity, the pancreas releases enough insulin to keep this glucose release in range.
In insulin resistance — whether from prediabetes, type 2 diabetes, chronic sleep deprivation, or metabolic decline — insulin cannot keep pace with the liver’s output. Glucose accumulates in the bloodstream. The result: a morning fasting glucose of 110-130 mg/dL despite going to bed at 95 mg/dL.
This is distinct from the theorized Somogyi rebound pattern, in which morning highs follow a nocturnal low. The dawn phenomenon involves no preceding drop — glucose rises from a stable or declining baseline. Distinguishing between the two matters, because the causes and responses are different. CGM data across multiple nights can show whether the overnight glucose pattern involves a dip-then-spike (which some clinicians attribute to the Somogyi effect) or a steady rise beginning around 3-5am (suggesting the dawn phenomenon).
Is It Dangerous to Have Low Blood Sugar While You Sleep?
In non-diabetic individuals, the counterregulatory response — glucagon, epinephrine, cortisol, and growth hormone — reliably prevents glucose from falling below 50-55 mg/dL. The body has redundant defenses. Even when these defenses are weakened during sleep (as Banarer and Cryer documented), they are typically sufficient to prevent medically concerning lows in people who do not take glucose-lowering medication.
The risk profile changes for people on insulin or medications that increase insulin secretion. Banarer and Cryer (2003) showed that individuals with type 1 diabetes maintained 77% sleep efficiency during hypoglycemia at 45 mg/dL — meaning they largely did not wake up, even at a glucose level that would produce noticeable effects during the day. The arousal response that protects non-diabetic individuals was suppressed.
Nasu et al. (2025) added a predictive dimension: in a study of 30 adults using insulin, monitored with CGM, 50% experienced nocturnal hypoglycemia, and morning cortisol levels below 10.7 ug/dL predicted these events with a sensitivity of 0.73, specificity of 0.80, and AUC of 0.79. Lower morning cortisol — suggesting the cortisol supply was depleted by overnight counterregulatory demands — marked individuals whose glucose had dropped overnight.
If you are waking between 2am and 4am with signs consistent with a blood sugar drop — racing heart, sweating, hunger — and this pattern recurs multiple nights per week, the next step is tracking, not speculation. A two-week CGM trial, or at minimum checking glucose with a fingerstick meter at the moment of waking, provides data that no amount of speculation can replace. Discuss glucose monitoring with your doctor if the pattern persists.
Related Reading
- Metabolic Sleep Disruption: How Metabolic Impairment Fragments Sleep
- Why Do You Wake Up Hungry at 3am?
- Why Does Cortisol Spike at 3am and Wake You Up?
- Can a Calorie Deficit Cause Insomnia?
- Adrenal Fatigue and 3am Waking: What Is Actually Happening?
- Does Insulin Resistance Affect Sleep Quality?
- Can Prediabetes Cause Sleep Problems?
- Can a Continuous Glucose Monitor Show Why You Wake Up at 3am?
- Why Does Intermittent Fasting Disrupt Your Sleep?
- Does Keto Cause 3am Waking? What Happens to Blood Sugar When You Cut Carbs
- Does Visceral Fat Block Your Growth Hormone Pulses During Sleep?
- Does Your Blood Sugar Rise While You Sleep Even If You Don’t Have Diabetes?
- Does Fatty Liver Cause Sleep Problems?
- Does Gut Dysbiosis Cause the Blood Sugar Swings That Wake You at 3am?
- Can Eating Late Cause a Blood Sugar Crash That Wakes You at 3am?
References
- Banarer, S., & Cryer, P. E. (2003). Sleep-related hypoglycemia-associated autonomic failure in type 1 diabetes: Reduced awakening from sleep during hypoglycemia. Diabetes, 52(5), 1195-1203. https://pubmed.ncbi.nlm.nih.gov/12716752/
- Jauch-Chara, K., Hallschmid, M., Gais, S., Oltmanns, K. M., Peters, A., Born, J., & Schultes, B. (2007). Awakening and counterregulatory response to hypoglycemia during early and late sleep. Diabetes, 56(7), 1938-1942. https://pubmed.ncbi.nlm.nih.gov/17400929/
- Jennum, P., Stender-Petersen, K., Rabol, R., Jorgensen, N. R., Chu, P. L., & Madsbad, S. (2015). The impact of nocturnal hypoglycemia on sleep in subjects with type 2 diabetes. Diabetes Care, 38(11), 2151-2157. https://pubmed.ncbi.nlm.nih.gov/26407587/
- Wang, S., Tan, Z., Wu, T., Shen, Q., Huang, P., Wang, L., Liu, W., Song, H., Lin, M., Shi, X., & Li, X. (2022). Largest amplitude of glycemic excursion calculating from self-monitoring blood glucose predicted the episodes of nocturnal asymptomatic hypoglycemia detecting by continuous glucose monitoring in outpatients with type 2 diabetes. Frontiers in Endocrinology, 13, 858912. https://pubmed.ncbi.nlm.nih.gov/35498416/
- Gardner, D., Tan, H. C., Lim, G. H., Oo, M. Z., Xin, X., & Chandran, S. R. (2023). Relationship between CGM-derived nocturnal hypoglycemia and subjective sleep quality in people with type 1 diabetes. Scientific Reports, 13(1), 20887. https://pubmed.ncbi.nlm.nih.gov/38017001/
- Martine-Edith, G., Divilly, P., Zaremba, N., Soholm, U., Broadley, M., Baumann, P. M., Mahmoudi, Z., Gomes, M., Ali, N., Abbink, E. J., de Galan, B., Brosen, J., Pedersen-Bjergaard, U., Vaag, A. A., McCrimmon, R. J., Renard, E., Heller, S., Evans, M., Cigler, M., … Choudhary, P. (2024). A comparison of the rates of clock-based nocturnal hypoglycemia and hypoglycemia while asleep among people living with diabetes: Findings from the Hypo-METRICS study. Diabetes Technology & Therapeutics, 26(7), 433-441. https://pubmed.ncbi.nlm.nih.gov/38386436/
- Kulzer, B., Freckmann, G., Ziegler, R., Schnell, O., Glatzer, T., & Heinemann, L. (2024). Nocturnal hypoglycemia in the era of continuous glucose monitoring. Journal of Diabetes Science and Technology, 18(5), 1052-1060. https://pubmed.ncbi.nlm.nih.gov/39158988/
- Nasu, T., Tamagawa, E., & Fujita, A. (2025). Cortisol as a predictor of nocturnal hypoglycemia in insulin-treated diabetes: A cross-sectional study. Cureus, 17(8), e89706. https://pubmed.ncbi.nlm.nih.gov/40932945/
Written by Kat Fu, M.S., M.S. — Last reviewed: April 2026 — 8 references cited
